apa kabarnya ? sehat kan?? insya Allah.... :)
untuk kali ini , kami akan berbagi dengan teman teman semua tentang soal dan pembahasan integral sma. untuk mempersingkat waktu , berikut ini pembahasannya...
soal no 1 , disajikan sebagai berikut .... soal Ebtanas 1995,,
Baca juga Ternyata iniliah Daftar PTN terbaik di Indonesia
ini merupakan integral biasa. dengan menggunakan hukum dasar integral,jawabannya disajikan sebagai berikut .
sekarang mari kita beralih ke soal no.2, soal ini lebih rumit daripada soal diatas. mari kita simak soalnya......,
soal seperti ini tidak dapat diselesaikan langsung seperti cara diatas, namun harus dengan menggunakan suatu pemisalan. biasanya, bentuk pemisalan sudah ada di soal itu sendiri. sekarang kita lihat jawabannya..
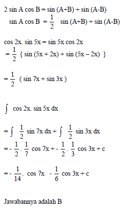
untuk lebih mahir, mari kita lihat contoh berikut nya . ini soal UMPTN 1991 , integral trigonometri .berikut ini soalnya.
ada dua cara dalam menyelesaikan soal seperti ini . cara pertama dan cara kedua disajikan berikut ini tergantung yang mana menurut kawan kawan yang paling mudah..
dengan cara yang sama yaitu pemisalan , kita dapat menyelesaikan soal diatas dengan mudah . sekarang perhatikan jawabannya .
nah silahkan simak untuk soal soal berikutnya....
jawabannya disajikan sebagai berikut ,,,
Baca juga Tips mengurangi berat badan secara alami
soal terakhir dari integral matematika untuk postingan saya kali ini, mari kita simak soalnya....
jawabannya adalah sebagai berikut ,,,
Baca juga Makanan ini ampuh menurunkan berat badan
sekian dan terima kasih.....
baca juga artikel lainnya...
- contoh soal dan pembahasan barisan geometri
- soal dan pembahasan barisan aritmatika
-mencari mean, median, modus dan kuartil
Ikuti materi ini lagi dan download soalnya ?? klik disini
untuk menyimak contoh soal integral untuk mencari luas dan volume, kalian bisa menyimaknya disini...
cara mencari volume dengan menggunakan integral
cara mencari luas bangun datar dengan menggunakan integral













bisa di tambain lg gak contoh soalx ????
BalasHapusbiar pemahamanku bertambah!!!makasih....:)
semoga rame blog agan, jangan lupa kunker ke blog saya ya
BalasHapushttp://pandai-dan-cerdas-matematika.blogspot.co.id/2015/05/contoh-soal-materi-anti.html