assalamu'alaikum teman teman....
setelah berkutat dengan dunia kuliahan yang begitu padat, di sela sela hilir mudiknya kegiatan kampus dan ngajar, saya sempatkan untuk menulis beberapa pembahasan soal tentang fungsi komposisi dan invers.
sebelum ke pembahasan , saya sapa lah dulu para pembaca sekalian. apa kabarnya kawan kawan semua??
sehatkah?? alhamdulilah....semoga Allah selalu melimpahi kesehatan dan kerahmatan untuk kita semua . amiiin.
Bagi yang sedang sakit, semoga lekas sembuh , pasti ada hikmah di balik sakit itu.
bagi adik2 yang baru lulus UN, selamat ya...atau yang baru lulus SNMPTN, luar biasa!!! ini adalah jalan menuju sukses. tapi bagi yang belum lulus snmptn, jangan sedih lah.....kamu gak sendirian kok. mash ada untuk mencoba SBMPTN di hari selasa nanti.
okelah, untuk kali ini , yang akan kita bahas adalah soal dan pembahasan fungsi komposisi dan invers untuk SMA . sumber soal ini berasal dari situs belajar-matematika.com dan beberapa buku BSE Mendiknas.
lanjut ke teorinya....
Aljabar Suatu Fungsi
Dalam bilangan real, kita sudah mengenal beberapa operasi aljabar, antara lain penjumlahan, pengurangan, perkalian, pembagian, dan perpangkatan. Operasi aljabar tersebut dapat juga diterapkan dalam fungsi. Misalkan diketahui dua fungsi f(x) dan g(x). Operasi aljabar pada kedua fungsi tersebut adalah sebagai berikut.

Baca juga Ternyata iniliah Daftar PTN terbaik di Indonesia
nah sebagai contoh dari teori diatas, disajikan contoh fungsi komposisi berikut ini,,

coba perhatikan baik baik soal diatas. gampang kan?? berikut ini jawabannya,,,

itu dia contoh yang pertama , sekarang perhatikan contoh kedua tentang fungsi komposisi ini.

penyelesaian dari contoh komposisi diatas dijelaskan oleh uraian berikut ini.

selanjutnya , untuk contoh ketiga , disajikan soal berikut ini ,
ingat kembali rumus yang telah dituliskan diatas. sudah ingat?? sukur lah...heheh. cek jawaban kamu disini.

Baca juga Apa saja Kampus swasta terbaik di Indonesia??
FUNGSI KOMPOSISI

uraian diatas masih pemanasan dulu. sekarang mari kita tingkatkan level soal tentang fungsi komposisi ini. berikut soalnya...

jawaban dari soal diatas adalah,,

gimana ? sudah jelaskah??
:)
tenang kawan..ini mudah loh, kamu hanya perlu sering latihan aja. nah, soal keempat disajikan sebagai berikut.

Baca juga Mau Kuliah apa?? ini 10 Jurusan terbaik untuk anak IPA
jawaban dari soalnya adalah sebagai berikut .

nah , berikut ini saya lampirkan beberapa soal dan jawaban tentang fungsi komposisi dan invers ini. silahkan dipelajari yaak!!
:)
soal no. 6,

jawabnnya,
Baca juga Fakta !! Ini Pekerjaan paling diminati di Indonesia!
soal no. 7
jawabannya,,
soal no. 8,
jawabannya,,
nah soal yang telah dijelaskan diatas merupakan soal soal tentang fungsi komposisi. untuk pembahasan berikut nya kita akan membahas tentang fungsi invers ,
penjelasan tentang fungsi invers dijelaskan sebagai berikut ,
Baca juga Mau jadi PNS? Mungkin Tips dan trik agar lulus ujian CPNS ini bisa membantu kamu


biar lebih jelas tentang uraian diatas, berikut ini disajikan soal soal beserta pembahasan fungsi invers ,
Baca juga Tips mengurangi berat badan secara alami
penyelesaiannya.....

soal kedua ,

jawaban dari soal diatas adalah,,,


Baca juga Makanan ini ampuh menurunkan berat badan
soal ketiga ,
jawabnnya,,,,,

soal keempat,,

jawabnya...
selain cara satu diatas, ada juga cara yang lain ditunjukkan olej uraian berikut ini.,

Baca juga Cara memutihkan gigi secara alami
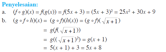
itu dia penjelasan tentang fungsi invers . nah bagaimana jika perpaduan antara fungsi komposisi dan fungsi invers???
bagaimana cara mengerjakannya??
tenaaaang kawaannnn...
simak lagi penjelasan nya....

contoh soal untuk bagian ini , disajikan sebagai berikut,,
jawabnnya adalah,,,

bagaimana kawan kawan??? bisa kan??? pasti bisa laaah... mudah lah pulak... nah...soal dan penjelasannya yang telah diuraikan diatas saya dapat dari buku sekolah elektronik(bse) mpuny kemendiknas. :)
nah kali ini kita akan berbagi soal dan pembahasan yang ada di ujian nasional. nah soal soal ini saya dapat dari situs berikut
www.belajar-matematika.com
ini dia soal dan pembahasannya...
Baca juga Cara meninggikan tinggi badan yang cukup ampuh
jawabnnya adalah...
soal berikutnya...
jawabannya adalah,,,
soal ketiga,,,
jawabannya adalah...
soal keempat,,,

jawabannya...

soal kelima.,,
jawabannya adalah.,,..

wah...capek juga ternyata ngetiknya ya...heheh
tapi ..gk pa pa lah...semoga apa yang saya lakukan ini bisa berguna ara pembaca semua nya ....
amiiiin....
nah...mungkin kawan kawan ingin mendownload file ini agar bisa dibaca kapan saja.,,silahkan klik link berikut ini..
soal dan pembahasan fungsi komposisi dan invers
semangat ya kawan kawan belajarnya. you will get the best if you try hard!!!!
:)
baca juga artikel lainnya...
- contoh soal dan pembahasan barisan geometri
- soal dan pembahasan barisan aritmatika
-mencari mean, median, modus dan kuartil
Ikuti materi ini lagi dan download soalnya ?? klik disini
salam..kakak izin menyalin yah...terimakasih sebelumnya.(kak Fian)
BalasHapusMakasih bgt bro info nya, sangat bermanfaat buat saya. hehe
BalasHapusJangan Lupa mampir ke blog Lowongan Kerja Terbaru ane ya Lowongan BANK